Acreditación de Laboratorios
Espectrometría de Masa en Tándem aplicada al Screening Neonatal

La investigación de los ECM (Errores Congénitos del Metabolismo) ha sido revolucionada por la introducción de la espectrometría de masa en tandem(EMT)

El primer paso en cualquier análisis usando EMT es generar especies cargadas (iones + ó -), de ese modo el analito que atraviesa el espectrómetro de masa puede ser controlado cuidadosamente. Dichos iones son obtenidos por una técnica de ionización suave: electrospray en la cual la mayoría de las especies observadas corresponden al peso molecular del analito de interés más una carga, ([M+H]+) o menos una carga, ([M-H]-); según sea su capacidad para ceder o aceptar protones.

Durante un análisis típico, la fase móvil que fluye desde una bomba HPLC a muy bajo caudal (10 µl/min) arrastra la muestra hacia la fuente de ionización electrospray y allí, utilizando nitrógeno como gas de nebulización y aplicando un alto voltaje, se obtienen las especies cargadas.

El espectrómetro de masa está constituido por dos cuadrupolos (analizadores) acoplados en tándem y separados por una celda de colisión hacia donde van a ser conducidos los iones, esta disposición de los analizadores permite obtener resultados altamente selectivos y específicos.

Para procesos de cuantificación se utilizan los isótopos marcados de los analitos de interés debido a que ambos, al ser sometidos a la ionización, poseen el mismo comportamiento, y la relación entre las respuestas generadas por ellos será proporcional a su concentración en la muestra analizada.

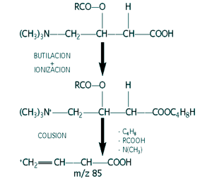
Las acilcarnitinas y los aminoácidos son extraídos de gotas de sangre impregnadas en papel de filtro, a través de una solución metanólica que contiene los estándares internos deuterados, (isótopos marcados de la especies a analizar). El extracto es evaporado bajo nitrógeno y luego derivatizado con n-butanol en ácido clorhídrico para obtener los ésteres butilícos de dichas especies.

La muestra derivatizada es evaporada nuevamente bajo nitrógeno hasta sequedad y finalmente reconstituida con una solución de acetonitrilo y agua que contenga 0.1% de ácido fórmico para facilitar la ionización.

Acilcarnitinas

Los ésteres butílicos de las acilcarnitinas pueden ser estudiados dado que todas estas especies moleculares sometidas a la fragmentación generan un ion fragmento común cuya relación masa / carga (m/z) es de 85. El proceso de fragmentación se lleva a cabo en la celda de colisión con argón.

El perfil de acilcarnitinas proviene de hacer un barrido con el primer cuadrupolo o analizador y sólo permitir que pase al segundo analizador el ion fragmento m/z:85, generado en la celda de colisión. En términos de espectrometría de masa esto es denominado barrido de iones precursores o de iones padres.






Estas señales llegan al detector (fotomultiplicador), que se encuentra luego del segundo cuadrupolo, y son registradas en un espectro de masa en el cual el eje X representa la relación masa/carga de los iones, y el eje Y representa la intensidad de iones que llegaron al detector.

Aminoácidos

Un gran número de aminoácidos (no todos) pueden ser analizados usando EMT. La fragmentación de los aminoácidos esterificados es distinta a la de las acilcarnitinas. En este caso las especies moleculares de interés pierden un fragmento común neutro (sin carga) de 102 Da. El perfil de aminoácidos proviene de hacer un barrido simultáneo entre el primer y el segundo cuadrupolo con una diferencia entre las masas del primer cuadrupolo y las masas del segundo, estipulada en 102 Da (pérdida del fragmento neutro). La única ocasión en que un ion va a ser detectado es cuando el fragmento generado en la celda de colisión resulte de una pérdida neutra del ion precursor. En términos de espectrometría de masa esta detección se denomina pérdida neutra constante de 102 Da.



Agradecemos la colaboración de la Dra. Andrea Schenone de la Fundación para el Estudio de las Enfermedades Neuro Metabólicas (FASEN) en la confección de este artículo.